Route Summarization from Distribution to the Core
This post is about a particular problem being faced once route summarization is introduced and how it can be avoided.
This concept is covered very well in these books from Cisco Press:
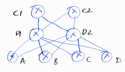
In this topology diagram 1 above, C1 and C2 are the core routers.
D1 and D2 are the distribution routers.
How is route summarization configured in this topology?
As show in above diagram 2, route summarization is configured from the distribution routers D1 and D2 towards the core routers C1 and C2.
For the sake of this argument, we will only be discussing traffic flow from Core routers C1 and C2 towards destination router D
Forwarding of traffic under normal operations:
C1 can forward traffic to D1 and D2 both in order to reach router D
C2 can also forward traffic to D1 and D2 both in order to reach router D
Depending on where the traffic arrives, D1 / D2 can forward traffic towards router D
Now let us see what happens when the link between D2 and router D goes down.
Failure Scenario:
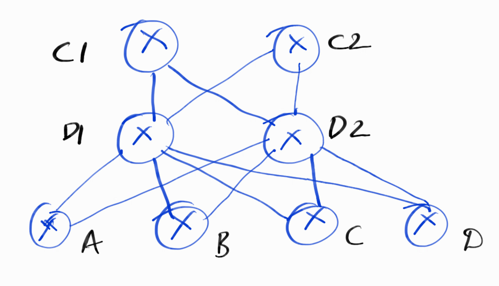
Diagram 3 above shows the link between router D2 and router D going down.
Route for prefixes advertised by router D will still be there on core routers C1 and C2 because the distribution layer routers D1 and D2 are sending summarized route towards the core routers C1 and C2.
When the traffic from core routers destined to router D hits distribution router D2, traffic is black holed.
D2 cannot forward traffic towards router D because the link towards router D is down.
How can this be avoided?
You will have to introduce a layer 3 link between distribution layer routers D1 and D2.
And this new link will not have any route summarization configured over it.
Refer to above diagram 4
With the same failure situation as above, now when traffic from core routers C1 and C2 destined to router D reaches D2; router D2 can forward the traffic towards D.
This is because D2 learns the prefixes advertised by router D over back to back link between D1 and D2.
D1 can then forward traffic towards router D



